Что нужно учесть
Проектирование воздуховодов базируется на законах аэродинамики и учитывает три ключевых параметра:
- Объем перемещаемого воздуха (м³/ч) — зависит от назначения помещения и требований санитарных норм.
- Скорость воздушного потока (м/с) — влияет на уровень шума и энергопотребление системы.
- Форма сечения — определяет аэродинамическое сопротивление и удобство монтажа.
Оптимальная скорость потока варьируется от 2 до 8 м/с. В жилых и офисных помещениях рекомендуется придерживаться диапазона 3–5 м/с, тогда как в промышленных зонах допустимы более высокие значения. Круглые воздуховоды обеспечивают лучшую аэродинамику, но прямоугольные чаще применяются в условиях ограниченного пространства.
Методика расчета площади сечения
Основная формула:

, где:
- F — площадь сечения (м²);
- L — расход воздуха (м³/ч);
- V — скорость потока (м/с).
Пример расчета. Для помещения с воздухообменом 2000 м³/ч и рекомендуемой скоростью 4 м/с получаем:

Для круглого воздуховода это соответствует диаметру 420 мм по формуле D = √(4F/π).
Альтернативные способы
Метод удельных потерь рассчитывает падение давления на единицу длины воздуховода, что важно для протяженных систем вентиляции.
Номограммы позволяют быстро определить параметры без сложных вычислений. Они удобны для предварительных расчетов, но менее точны, чем аналитические методы.
Современные программные комплексы моделируют систему вентиляции целиком, учитывая все факторы, а некоторые даже автоматически оптимизируют конфигурацию.
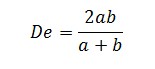
Метод эквивалентного диаметра часто применяется для прямоугольных воздуховодов. Он сравнивает аэродинамические характеристики каналов разных форм, используя единые базы данных. При этом действует следующая формула расчета:

, где a и b — стороны сечения.
Практические рекомендации
1. Учитывайте будущие модификации системы. Например, расширение площади или изменение назначения помещений. Это поможет избежать дорогостоящих переделок в дальнейшем. Также заранее предусмотрите места для возможных ответвлений.
2. Проверяйте соответствие стандартным размерам. Если расчетное сечение не совпадает с типовым, выбирайте ближайшее большее значение. Это упростит монтаж и сократит сроки поставки материалов. Кроме того, типовые размеры обычно дешевле нестандартных.
3. Используйте программное моделирование. Современные САПР (AutoCAD, MagiCAD) помогают избежать ошибок и оптимизировать конструкцию. Такие программы позволяют сразу оценить аэродинамические потери и подобрать оптимальную конфигурацию. Дополнительно они могут автоматически формировать спецификации оборудования.
Частые ошибки и их последствия
Одним из наиболее распространенных просчетов является занижение сечения воздуховода. Это приводит к повышенной скорости потока воздуха, что вызывает усиленный шум во время работы системы. Кроме того, вентиляторы вынуждены работать с перегрузкой, что сокращает их ресурс и увеличивает энергопотребление.
Не менее проблематично и завышение сечения. Слишком большой воздуховод увеличивает затраты на материалы и монтаж, а также усложняет размещение системы, особенно в условиях ограниченного пространства. Кроме того, из-за снижения скорости потока могут возникать проблемы с эффективным удалением загрязненного воздуха в системах вытяжной вентиляции.
Еще одна серьезная ошибка — пренебрежение расчетом эквивалентного диаметра для прямоугольных воздуховодов. Если не учитывать этот параметр, распределение воздушных потоков становится неравномерным, что ухудшает производительность системы. В некоторых зонах может наблюдаться недостаточный воздухообмен, в то время как в других — избыточные сквозняки.
Верный расчет сечения воздуховодов — залог долговечной и эффективной вентиляционной системы. Используйте проверенные методики, учитывайте реальные условия монтажа и не пренебрегайте профессиональными программными инструментами. Если у вас остались вопросы, обратитесь к нашим специалистам за консультацией. Мы поможем подобрать оптимальное решение для вашего проекта.


